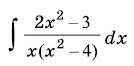
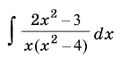
Файл:АНЫКТАЛБАГАН КОЭФФИЦИЕНТТЕР МЕТОДУ 11.png
Навигацияга өтүү
Издөөгө өтүү
АНЫКТАЛБАГАН_КОЭФФИЦИЕНТТЕР_МЕТОДУ_11.png (134 × 66 пиксель, файлдын көлөмү: 3 KB, MIME түрү: image/png)
File uploaded with MsUpload
Файлдын тарыхы
Файлдын ошол учурдагы көрүнүшүн көрүү үчүн күнү/сааты бөлүмүн басыңыз
| Дата/Убакыт | Миниатюра | Өлчөмдөр | Колдонуучу | Пикир | |
|---|---|---|---|---|---|
| учурдагы | 09:42, 5 Март (Жалган куран) 2026 | 134 × 66 (3 KB) | Gulira (талкуу | салымы) | File uploaded with MsUpload |
Бул файлдын үстүнөн жаза албайсыз.
Файлды колдонуу
Бул файлды колдонгон барактар жок.
