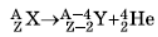
Файл:АЛЬФА-АЖЫРОО 27.png

Кыргыз Энциклопедия жана Терминология Борбору дан
Навигацияга өтүү Издөөгө өтүү

АЛЬФА-АЖЫРОО_27.png(158 × 37 пиксель, файлдын көлөмү: 4 KB, MIME түрү: image/png)

File uploaded with MsUpload

Файлдын тарыхы

Файлдын ошол учурдагы көрүнүшүн көрүү үчүн күнү/сааты бөлүмүн басыңыз

Дата/УбакытМиниатюраӨлчөмдөрКолдонуучуПикир
учурдагы09:41, 5 Март (Жалган куран) 202609:41, 5 Март (Жалган куран) 2026 -дагы версиясы үчүн кичирейтилген сүрөтү158 × 37 (4 KB)Gulira (талкуу | салымы)File uploaded with MsUpload

Бул файлды колдонгон барактар ​​жок.